skip to main
|
skip to sidebar
Programmming
Todo lo que puedas buscar sobre ingeniería informática y mucho más
Home
Programación
Pascal
Iniciación
Bucles
Procedimientos y funciones
Recursividad
Estructuras simples de datos
Matlab
C#
Iniciacion
Sentencias condicionales
Android
Calculadora Android
Erlang
Iniciación
Calculadora
API de manejo de listas
Funciones básicas
Matemáticas
Álgebra
Teoría de números
Calculo
Calculo diferencial de funciones de una variable
Teorema de Bolzano
Aproximacion mediante dicotomia
Derivabilidad
Rectas tangentes
Polinomio de Taylor
Integracion de funciones de una variable
Integracion
Derivar una integral
Longitud de un arco exponencial
Hallar el area
Calculo de integrales
Extremos de una funcion
Estadística
Probabilidad
Variables aleatorias
Inferencia estadística
Estadística descriptiva
Matemáticas Discretas
Lógica y Álgebras de boole
Conjuntos y aplicaciones
Relacciones
Grafos
Combinatoria
Máquinas finitas y autómatas
Electrónica
I.Básica
Comandos de linux
Bases de datos
Redes
IEEE
Tecnologia E.
Practicas
Circuitos RC
Rectificadores
Ejercicios
Circuitos Electricos en continua
Diodos de union P-N
Seguridad Informática
Redes
Contraseñas wifi
Programas espia
Capturador de actividad en el pc
sábado, 1 de febrero de 2014
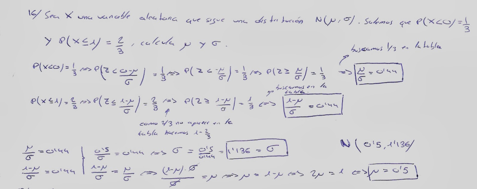
Variables aleatorias (16)
No hay comentarios:
Publicar un comentario
Entrada más reciente
Entrada antigua
Inicio
Suscribirse a:
Enviar comentarios (Atom)
Visitas
Buscar en el blog
Seguidores
Tweet
Popular Posts
Pedir nombre y edad C#
Programa que pide nombre y edad por teclado using System; using System.Collections.Generic; using System.Linq; using System.Text; na...
Tipo de triángulo Condicionales C#
Programa en C# que detecte si un triángulo es equilátero, isósceles o escaleno en función de sus lados using System; using System.Collec...
Volumen de revolucion(Matlab)
%2. Halla el volumen del sólido de revolución generado por %la rotación, alrededor del eje X, de la región %situada en el primer cuadran...
Con la tecnología de
Blogger
.
Design by
Free WordPress Themes
| Bloggerized by
Lasantha
-
Premium Blogger Themes
|
GreenGeeks Review
No hay comentarios:
Publicar un comentario